• <li id="2ss88"><table id="2ss88"></table></li>
  • <tt id="2ss88"><table id="2ss88"></table></tt>
  • <tt id="2ss88"><rt id="2ss88"></rt></tt>
    <tt id="2ss88"><rt id="2ss88"></rt></tt>
  • <li id="2ss88"><tt id="2ss88"></tt></li>
  • <li id="2ss88"></li>
  • 人民網>>教育>>高考頻道_教育頻道_人民網>>試題庫

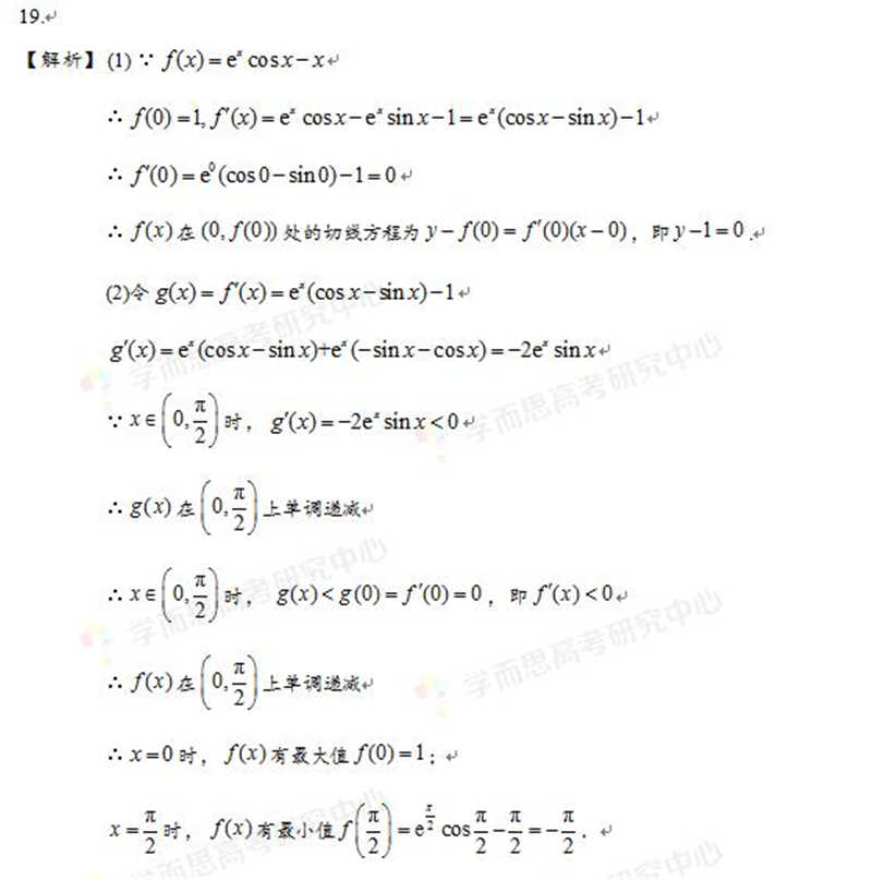
    2017年高考北京數學(理科)參考答案【14】

    來源:人民網-教育頻道  2017年06月12日10:27

    上一頁
    14
    14
    下一頁

    【1】【2】【3】【4】【5】【6】【7】【8】【9】【10】【11】【12】【13】【14】【15】【16】【17】【18】
    上一頁下一頁

    (責編:鄭而進(實習生)、林露)

     高清推薦

    • 2014高考大片兒上演2014高考大片兒上演
    • 考試即將結束 家長望眼欲穿考試即將結束 家長望眼欲穿
    • 笑對高考,高考我不怕!笑對高考,高考我不怕!
    • 高考表情:來自爸媽的關愛高考表情:來自爸媽的關愛
    • 高考表情:好朋友,一起加油!高考表情:好朋友,一起加油!
    • 高考背后,他們默默付出高考背后,他們默默付出
    • 高考首日結束 考生明顯變輕松高考首日結束 考生明顯變輕松
    • 高考表情:考前一刻不放松高考表情:考前一刻不放松
    • 高考落榜的大明星高考落榜的大明星
    • 30位明星高考那些事30位明星高考那些事
    •  相關專題

       新聞排行榜

      1. 1三問北京高考閱卷:人員如何組成…
      2. 2大學,相會有期
      3. 3北京高考成績6月25日中午前發布
      4. 4秋季學期臨近,中國留學生準備好…
      5. 5大學生對話高三畢業生:“黑科技…
      6. 6院士科普進校園
      7. 7北京教育考試院:提醒考生合理選…
      8. 8冰雪運動進校園
      9. 9湖北大學有間“大白工作室”
      10. 10陜西師范大學:招生計劃大幅增加…
      天天看片天天av免费观看