• <li id="2ss88"><table id="2ss88"></table></li>
  • <tt id="2ss88"><table id="2ss88"></table></tt>
  • <tt id="2ss88"><rt id="2ss88"></rt></tt>
    <tt id="2ss88"><rt id="2ss88"></rt></tt>
  • <li id="2ss88"><tt id="2ss88"></tt></li>
  • <li id="2ss88"></li>
  • 人民網
    人民網>>教育

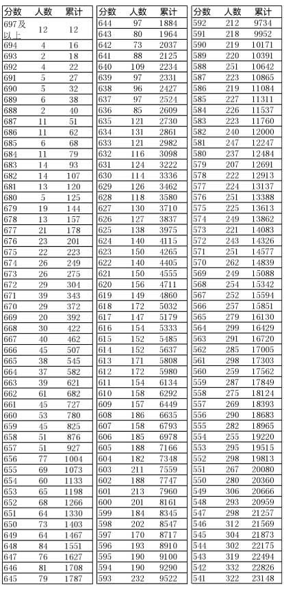
    遼寧2016年“高考成績一分一段表”

    2016年06月24日11:03 | 來源:遼寧日報
    小字號
    理工1
    理工1
    原標題:遼寧2016年“高考成績一分一段表”發布

    2016年遼寧高考錄取控制分數線及“高考成績一分一段表”均已發布,我省文史類考生641分及以上者共11人,6586人分數超過一本分數線;理工類類考生697分及以上者共12人,38582人分數超過一本分數線。

    (責編:安亞欣(實習生)、賀迎春)

    分享讓更多人看到

    返回頂部
    天天看片天天av免费观看