• <li id="2ss88"><table id="2ss88"></table></li>
  • <tt id="2ss88"><table id="2ss88"></table></tt>
  • <tt id="2ss88"><rt id="2ss88"></rt></tt>
    <tt id="2ss88"><rt id="2ss88"></rt></tt>
  • <li id="2ss88"><tt id="2ss88"></tt></li>
  • <li id="2ss88"></li>
  • 人民網>>教育

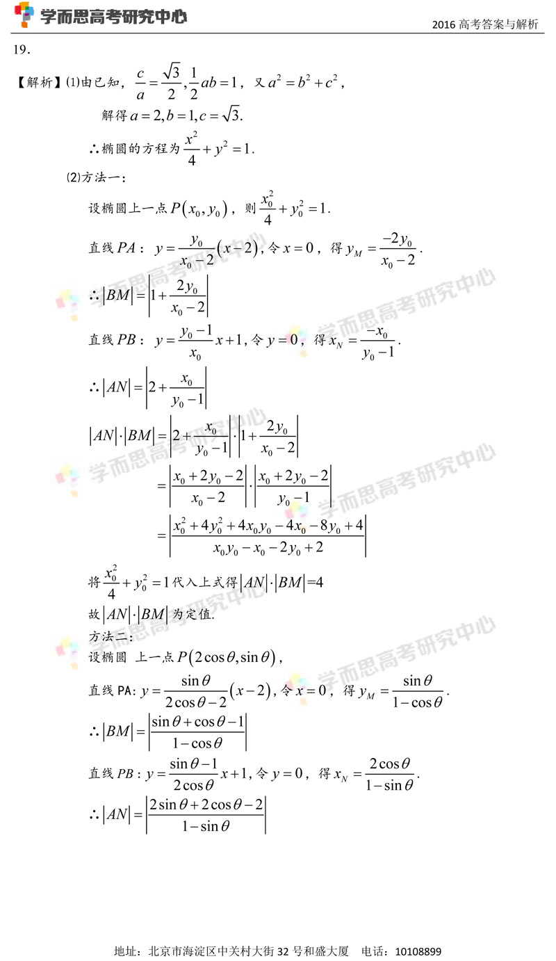
    2016年高考北京理科數學試卷答案與分析【7】

      2016年06月07日20:14

    上一頁
    2016年北京高考數學(理科)答案與解析-7
    2016年北京高考數學(理科)答案與解析-7
    下一頁

    來源:學而思高考研究中心

    【1】【2】【3】【4】【5】【6】【7】【8】
    上一頁下一頁

    (責編:溫雪茹(實習生)、賀迎春)

     高清推薦

    • 2014高考大片兒上演2014高考大片兒上演
    • 考試即將結束 家長望眼欲穿考試即將結束 家長望眼欲穿
    • 笑對高考,高考我不怕!笑對高考,高考我不怕!
    • 高考表情:來自爸媽的關愛高考表情:來自爸媽的關愛
    • 高考表情:好朋友,一起加油!高考表情:好朋友,一起加油!
    • 高考背后,他們默默付出高考背后,他們默默付出
    • 高考首日結束 考生明顯變輕松高考首日結束 考生明顯變輕松
    • 高考表情:考前一刻不放松高考表情:考前一刻不放松
    • 高考落榜的大明星高考落榜的大明星
    • 30位明星高考那些事30位明星高考那些事
    •  相關專題

       新聞排行榜

      1. 1職教視野 高職創業學院期待告別…
      2. 2打通上升通道,職業教育才有吸引力
      3. 3校園體育托管班培養運動小健將
      4. 4常州大學學子:以青年視角記錄鄉…
      5. 5多所高校學生深入農村開展暑期社…
      6. 6警惕網絡犯罪黑手伸向青少年
      7. 7“三下鄉”學子奮戰在抗洪搶險一線
      8. 8陳延:不斷突破“花瓶”人生
      9. 9健康飲食理念應從兒童時樹立
      10. 10扭轉升學政績觀,才能辦好職業教育
      天天看片天天av免费观看