• <li id="2ss88"><table id="2ss88"></table></li>
  • <tt id="2ss88"><table id="2ss88"></table></tt>
  • <tt id="2ss88"><rt id="2ss88"></rt></tt>
    <tt id="2ss88"><rt id="2ss88"></rt></tt>
  • <li id="2ss88"><tt id="2ss88"></tt></li>
  • <li id="2ss88"></li>
  • 人民網>>教育>>高考頻道_教育頻道_人民網>>試題庫

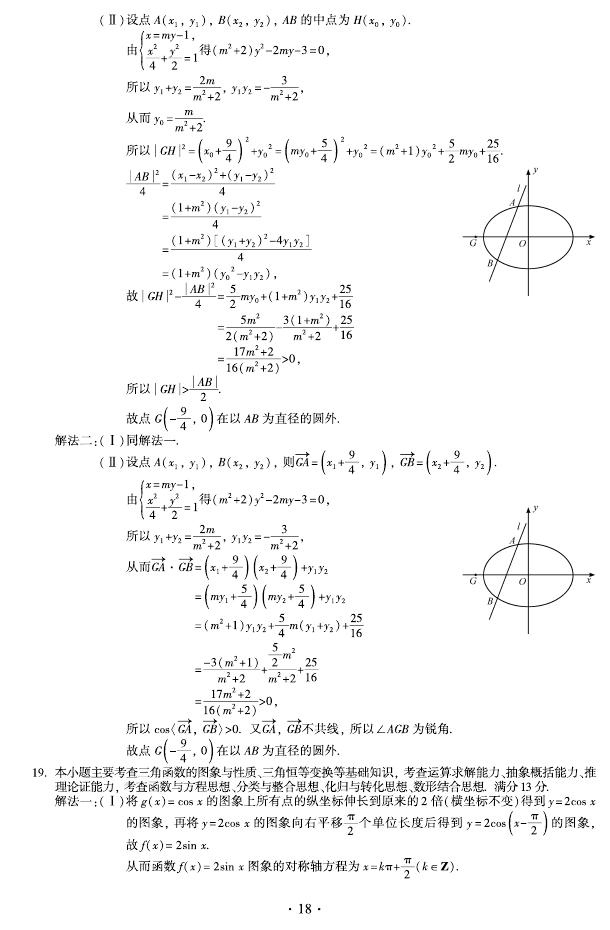
    2015年福建高考理科數學試題(答案)【3】

      2015年06月08日21:03

    上一頁
    3
    3
    下一頁

    【1】【2】【3】【4】【5】【6】
    上一頁下一頁

    (責編:王李(實習生)、林露)

     高清推薦

    • 2014高考大片兒上演2014高考大片兒上演
    • 考試即將結束 家長望眼欲穿考試即將結束 家長望眼欲穿
    • 笑對高考,高考我不怕!笑對高考,高考我不怕!
    • 高考表情:來自爸媽的關愛高考表情:來自爸媽的關愛
    • 高考表情:好朋友,一起加油!高考表情:好朋友,一起加油!
    • 高考背后,他們默默付出高考背后,他們默默付出
    • 高考首日結束 考生明顯變輕松高考首日結束 考生明顯變輕松
    • 高考表情:考前一刻不放松高考表情:考前一刻不放松
    • 高考落榜的大明星高考落榜的大明星
    • 30位明星高考那些事30位明星高考那些事
    •  相關專題

       新聞排行榜

      1. 1擴大職業院校生源供給 培養應用…
      2. 20-3歲入托率不足6% 我的娃…
      3. 3鄉村“復興少年宮”助少兒快樂成長
      4. 4高價購買“內推”“保offer…
      5. 5一場軍營里的博士論文答辯
      6. 6浙江湖州:企業開辦愛心暑托班
      7. 7到邊疆、到一線 到祖國最需要的…
      8. 8教育部明確義務教育階段校外培訓…
      9. 9徐州把技師當成香餑餑
      10. 10北京郵電大學:在傳郵萬里的雁陣…
      天天看片天天av免费观看