• <li id="2ss88"><table id="2ss88"></table></li>
  • <tt id="2ss88"><table id="2ss88"></table></tt>
  • <tt id="2ss88"><rt id="2ss88"></rt></tt>
    <tt id="2ss88"><rt id="2ss88"></rt></tt>
  • <li id="2ss88"><tt id="2ss88"></tt></li>
  • <li id="2ss88"></li>
  • 人民網>>教育>>滾動新聞

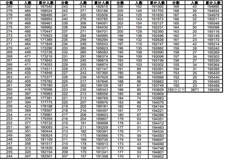
    2014年高考安徽省文科一分一檔表【3】

    來源:安徽省教育招生考試院  2014年06月26日15:01

    上一頁
    2014年高考安徽省文科一分一檔表【3】
    下一頁

    【1】【2】【3】

    分享到:
    (責編:李小琳、熊旭)

     高清推薦

    • 2014高考大片兒上演2014高考大片兒上演
    • 考試即將結束 家長望眼欲穿考試即將結束 家長望眼欲穿
    • 笑對高考,高考我不怕!笑對高考,高考我不怕!
    • 高考表情:來自爸媽的關愛高考表情:來自爸媽的關愛
    • 高考表情:好朋友,一起加油!高考表情:好朋友,一起加油!
    • 高考背后,他們默默付出高考背后,他們默默付出
    • 高考首日結束 考生明顯變輕松高考首日結束 考生明顯變輕松
    • 高考表情:考前一刻不放松高考表情:考前一刻不放松
    • 高考落榜的大明星高考落榜的大明星
    • 30位明星高考那些事30位明星高考那些事
    •  新聞排行榜

      1. 1應屆畢業生就業初體驗:交房租時…
      2. 2北京高中全面取消擇校 中招時!
      3. 3畢業生就業初體驗:交房租時感覺…
      4. 4上一堂“活色生香”的國學課
      5. 5廣東千份錄取通知書寄送錯誤 !
      6. 6大學老師,類型可以更多元
      7. 7轉向應用技術型:本科怎樣起步
      8. 8別讓義務教育“國家標準”難落地
      9. 9所有的學校都能卓越
      10. 10教育就是愛+耐心+孩子能明白的…
      天天看片天天av免费观看