• <li id="2ss88"><table id="2ss88"></table></li>
  • <tt id="2ss88"><table id="2ss88"></table></tt>
  • <tt id="2ss88"><rt id="2ss88"></rt></tt>
    <tt id="2ss88"><rt id="2ss88"></rt></tt>
  • <li id="2ss88"><tt id="2ss88"></tt></li>
  • <li id="2ss88"></li>
  • 人民網>>教育>>滾動新聞

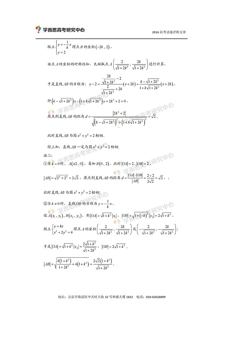
    2014年高考北京數學(理科)試題參考答案與解析【6】

      2014年06月08日14:03

    上一頁
    6
    6
    下一頁

    來源:學而思高考研究中心

    【1】【2】【3】【4】【5】【6】【7】

    分享到:
    (責編:李小琳、熊旭)

     高清推薦

    • 2014高考大片兒上演2014高考大片兒上演
    • 考試即將結束 家長望眼欲穿考試即將結束 家長望眼欲穿
    • 笑對高考,高考我不怕!笑對高考,高考我不怕!
    • 高考表情:來自爸媽的關愛高考表情:來自爸媽的關愛
    • 高考表情:好朋友,一起加油!高考表情:好朋友,一起加油!
    • 高考背后,他們默默付出高考背后,他們默默付出
    • 高考首日結束 考生明顯變輕松高考首日結束 考生明顯變輕松
    • 高考表情:考前一刻不放松高考表情:考前一刻不放松
    • 高考落榜的大明星高考落榜的大明星
    • 30位明星高考那些事30位明星高考那些事
    •  相關專題

       新聞排行榜

      1. 1調查:半數網友支持高校男女生異…
      2. 2北京高招實行平行志愿第一年 名…
      3. 3應屆畢業生就業初體驗:交房租時…
      4. 4北京高中全面取消擇校 中招時!
      5. 5畢業生就業初體驗:交房租時感覺…
      6. 6教育部“限漲令”到期 各地高!
      7. 7研究生就業率墊底是誤讀 存在一…
      8. 8誰來呵護農村留守兒童的青春期
      9. 9廣東千份錄取通知書寄送錯誤 !
      10. 10上一堂“活色生香”的國學課
      天天看片天天av免费观看