• <li id="2ss88"><table id="2ss88"></table></li>
  • <tt id="2ss88"><table id="2ss88"></table></tt>
  • <tt id="2ss88"><rt id="2ss88"></rt></tt>
    <tt id="2ss88"><rt id="2ss88"></rt></tt>
  • <li id="2ss88"><tt id="2ss88"></tt></li>
  • <li id="2ss88"></li>
  • 人民網>>教育>>滾動新聞

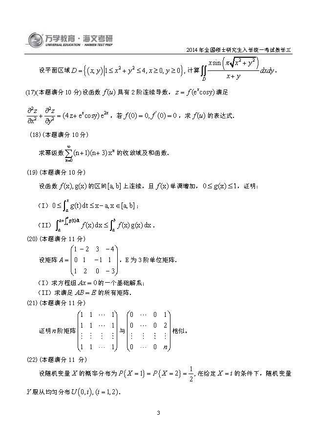
    2014年考研數學三真題完整版

    2014年01月05日13:38        手機看新聞

    來源:萬學海文

    (責編:實習生李卓、林露)




    注冊/登錄
    發言請遵守新聞跟帖服務協議   

    使用其他賬號登錄: 新浪微博帳號登錄 QQ帳號登錄 人人帳號登錄 百度帳號登錄 豆瓣帳號登錄 天涯帳號登錄 淘寶帳號登錄 MSN帳號登錄 同步:分享到人民微博  

    社區登錄
    用戶名: 立即注冊
    密  碼: 找回密碼
      
    • 最新評論
    • 熱門評論
    查看全部留言

    24小時排行 | 新聞頻道留言熱帖

    天天看片天天av免费观看