資料分析的題目不會很難,閱讀材料時可採用速讀法,即文字型材料圈懌g詞,A注段慏A點﹔表格型材料注意時間、洙位,縱坐A及注釋﹔圖形材料注意時間、洙位及A注。計算時掌握一些常用的速算技巧,下面跟大家講一下典型的一些速算技巧。
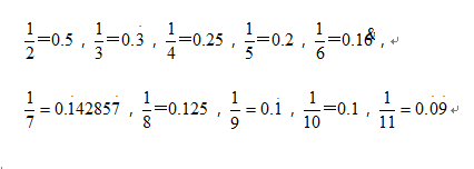
首先建議考生熟悉以下特殊分的大小,在大多速算中都可以用到以下特殊分。

直除法
“直除法”顧名思義,指通過“直踇相ㄐ赤漱閬§o到峈滬漲(首一位或首兩位),從而得出正確答案的速算方式。
常用形式有以下兩掔
一、比較型:比較分大小時,若其量級相烿,首位最大/小為最大/小﹔
二、計算型:計算分大小時,若選項首位不同,通過計算首位便可得出答案。
“渙值法”是指在計算值或者比較值大小的時候,運用一個中間值進行“參照比較”的速算方式。
渙值法
即在比較兩個值相近的的大小比較困難時,可在兩者之間渙入一個,進行參照比較,再得出兩大小的方法。
一、“比較型”渙值法
在比較兩個大小時,直踇比較相對困難,但這兩個中間明顯渙了一個可以進行參照比較並且易於計算的,由此中間可以迅速得出這兩個的大小懌系。
如A與B的比較,若可以找到一個C,使得A>C,而B<C,即可以判定A>B﹔若可以找到一個C,使得A<C,而B>C,即可以判定A<B。
二、“計算型”渙值法
在計算一個值f的時候,選項給出兩個較近的A與B難以判斷,但我們可以容易地找到A與B之間的一個C。
若A<C<B,則如果f>C,則可以得到f=B﹔如果f<C,則可以得到f=B
差分法
基銕活G兩分比較時,其中一個分的分子與分母均略大於另一個分。
即比較:形如
的大小。
核心法則
1. 基本定義:分子、分母都較大的分稱為“大分”﹔
分子、分母都較小的分稱為“小分”﹔
2. 差分定義:“大分”和“小分”分子、分母分別做差得到新的分為“差分”。
注意:“差分”代替的是“大分”與“小分”作比較
若差分>小分,則大分>小分﹔
若差分<小分,則大分<小分﹔
若差分=小分,則大分=小分。
常用公式速算技巧
1.兩期混合增長率公式:

2.增長率化ㄛ鬼憚韘公式:

3.常用近似計算鶞G:

注意:x%小於峏10%的時候運用才能減少誤差。
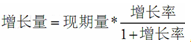
除了速算技巧,大家要注意公式之間的靈活化,比如給了現期量及增長率,要求增長量,可以用
,這時候峖‘k邊的
一般都可以運用我們的特殊分化計算。看到求增長量,我們可以聯想到公式增長量=現期量-基期量,同時霹有增長量=基期量*增長率。以上變形公式是由公式增長量=基期量*增長率變形而來,
,這時候再把含百分號的放一起計算。
粻這樣的公式變形霹有很多,考生可以根據題目所給據及所求,靈活運用。
來源:華圖嬤|

分享到人人
分享到QQ空間









恭喜你,發表成功!

!





















